Công ty Cổ phần Dịch vụ Di Động Trực tuyến (M_Service) – doanh nghiệp đứng sau ứng dụng Ví điện tử MoMo vừa có cập nhật thông tin đăng ký doanh nghiệp, trong đó có một số biến động liên quan đến vốn điều lệ và tỷ lệ sở hữu của nhóm 20 cổ đông ngoại.
Theo đó, tại đăng ký thông tin doanh nghiệp cấp ngày 1/12/2025 (được đăng tải từ ngày 2/12/2025 đến ngày 1/1/2026), M_Service có biến động nhỏ về vốn điều lệ khi tăng nhẹ từ hơn 179.436.240.000 đồng lên hơn 179.521.430.000 đồng. Trong đó, vốn nước ngoài chiếm 71,259 % tương ứng với giá trị vốn góp ở mức 127.924.550 đồng. Vốn góp tư nhân trong nước của M_Service ở mức 28,741% tương ứng với giá trị vốn góp ở mức 51.596.880.000 đồng.
Về thông tin cổ phần của M_Service, đến thời điểm hiện tại, doanh nghiệp có tổng số 17.952.143 cổ phần, trong đó bao gồm 6.795.494 cổ phần phổ thông, 1.092.386 cổ phần ưu đãi hoàn lại, 10.064.263 cổ phần ưu đãi khác. Như vậy, có đến 56,062 % cổ phần của chủ sở hữu MoMo là cổ phần ưu đãi khác.
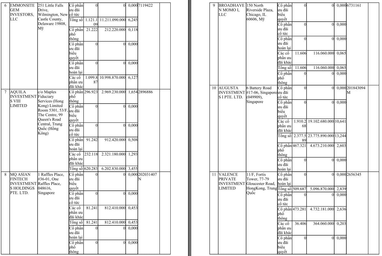
Danh sách 20 cổ đông ngoại sở hữu 71,259 % MoMo
Thông tin cập nhật mới nhất cho thấy đang có 20 tổ chức, cá nhân là các cổ đông ngoại đang nắm 71,259 % cổ phần doanh nghiệp sở hữu MoMo.





Bật mí doanh thu của MoMo
Về tình hình kinh doanh của MoMo, do không phải là doanh nghiệp niêm yết trên sàn chứng khoán đồng nghĩa với viêc không phải công bố công khai trước công chúng các báo cáo tài chính nên bức tranh kinh doanh của M_Service – doanh nghiệp sở hữu MoMo chỉ được hé mở qua một số thông tin do bên thứ 3 công bố.
MoMo, nền tảng thanh toán di động đầu tiên tại Việt Nam, đã có những bước chuyển mình mạnh mẽ từ khi được Công ty CP Chứng khoán Thiên Việt (HoSE: TVS) đầu tư sơ khai vào năm 2007. Ban đầu chỉ là một ví điện tử đơn giản, MoMo đã phát triển và mở rộng ra nhiều lĩnh vực tài chính số, bao gồm chuyển tiền ngang hàng, thương mại đa kênh, công nghệ tín dụng, bảo hiểm và quản lý tài sản, phục vụ hơn 40 triệu người dùng.
Theo báo cáo từ TVS về kết quả kinh doanh năm 2024, doanh thu của MoMo đạt hơn 100 triệu USD, tương đương gần 2.600 tỷ đồng. Đáng nói là con số này thấp hơn rất nhiều so với doanh thu 9.400 tỷ đồng mà báo chí phản ánh cho năm 2023, theo dữ liệu từ Vietdata - công ty chuyên cung cấp dịch vụ nghiên cứu thị trường và phân tích dữ liệu tại Việt Nam.
Báo cáo của TVS cũng cho thấy MoMo đã đạt được những cột mốc ấn tượng khác trong năm 2024, bao gồm hơn 40 triệu tài khoản đăng ký và 10 triệu người dùng hoạt động hàng tháng. Tổng giá trị giao dịch (GTV) của MoMo lên tới 25 tỷ USD. MoMo cũng đã giải ngân hơn 700 triệu USD cho các khoản vay và quản lý hơn 300 triệu USD tài sản cho nhà đầu tư.
Các năm trước đó, theo số liệu từ Vietdata, MoMo liên tục thua lỗ với khoản lỗ ròng 2 năm 2022-2023 lên tới 1.150 và 287 tỷ đồng.
Thua lỗ kéo dài trong một cuộc chơi công nghệ “đốt tiền” không ngăn cản MoMo trở thành kỳ lân công nghệ với mức định giá 2 tỷ USD vào cuối năm 2021. Điều này đã giúp cho khoản đầu tư vào MoMo của TVS được xem là một trong những thành công lớn nhất của công ty chứng khoán này.
Theo Báo cáo tài chính 2024 của TVS, giá trị khoản đầu tư vào Công ty Cổ phần Dịch vụ Di Động Trực Tuyến (M-Service) – công ty chủ quản của MoMo - chỉ được ghi nhận theo giá gốc ở mức 27,8 tỷ đồng vào cuối năm 2024. Tuy nhiên, thực tế khoản đầu tư này đã tăng giá trị lên rất nhiều lần.
Theo một số thông tin được công khai trên báo chí, vào khoảng đầu năm 2025, M-Service đã có động thái đàm phán với các đối tác tài chính về việc IPO tại nước ngoài. Dự kiến, đợt niêm yết có thể sớm diễn ra tại Singapore hoặc Mỹ.

